工业上普遍需要测量各类非电物理量,例如温度、压力、速度、角度等,这些都需要转换成模拟量电信号才能传输到几百米外的控制室或显示设备上。这种将物理量转换成电信号的设备称为变送器。目前工业上采用最广泛的是用4~20mA电流来传输模拟量。采用电流信号的原因是不容易受干扰。并且电流源内阻无穷大,导线电阻串联在回路中不影响精度,在普通双绞线上可以传输数百米。
4~20mA是指最小电流为4mA,最大电流为20mA ,上限取20mA是因为防爆的要求,20mA的电流通断引起的火花能量不足以引燃瓦斯等气体,对于气体传感器来说是非常重要的,因为火花能量太大可能会点燃易燃易爆气体,产生的后果难以想象。
下限没有取0mA的原因是为了能检测断线:正常工作时不会低于4mA,当传输线因故障断路,环路电流降为0。常取2mA作为断线报警值。另一个原因是在4-20mA使用的是两线制,即两根线即是信号线,同时也是电源线,而4mA是为了给传感器提供电路的静态工作电流用。
4~20mA变送器的电流信号究竟能传多远呢?
干扰因素:
①与激励电压高低有关;
②与变送器允许的最小工作电压有关;
③与板卡设备采集电流用的取压电阻大小有关;
④与导线电阻的大小有关。
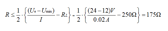
通过这四项有关量,可以计算出4~20mA电流信号的理论传输距离。其中,Uo是变送器的供电电压,必须在满载时(电流I=20mA)保证Uo≥Umin。即:Ue-I.(RL+2r)≥Umin
根据这个公式,可以计算出在变送器处于低工作电压时,大的导线电阻。假设:已知:Ue=24V,I=20mA,RL=250Ω,Umin=12V。求出r的大值为175Ω:
其中:
ρ——电阻率(铜电阻率=0.017,铝电阻率=0.029)
L——线的长度(单位:米)
S——线的截面(单位:平方毫米)
注:电阻值与长度成正比,与截面积成反比。导线越长,电阻越大, 导线越粗,电阻越小。
以铜线为例,ρ= 0.017 Ω·mm2/m,即:横截面积1mm2,长度1m的铜线电阻为0.017Ω。那么175Ω对应1mm2的导线长度为175/0.017=10294(米)。因此,理论上4-20mA信号传输可达上万米(根据不同激励电压和变送器的*低工作电压等因素而定)。
恒歌拥有10年的OEM/ODM定制经验,10年专业的协同设计/辅助设计能力,能为您提供4-20mA、RS485传输方式的气体传感器/报警器/模块/配件等,也可提供4-20mA、RS485传输方式的温湿度传感器/变送器/探头。恒歌的产品专为客户而设计,能够满足苛刻的工业过程和环境控制方面的测量需求。
发布时间 20-11-06



